Postado por Caio Hostilio em 26/mar/2014 - 3 Comentários

É de se estranhar muito os motivos que levaram o ex-deputado federal Flávio Dino de não se manifestar sobre toda aquela patacoada dirigida ao ex-senador Francisco Escórcio, no Rio Poty Hotel.
Na época, o então deputado federal Flávio Dino, após o seu silêncio, prometeu que faria um pronunciamento na Câmara dos Deputados sobre o assunto, porém nunca fez e jamais se manifestou sobre esse uso indevido do aparelho de segurança pública para praticar atos politiqueiros canalhas e safados…
Também se silenciou quando do assassinato do poeta Gerô, coisa que todos os oposicionistas se calaram diante da arbitrariedade cometida contra o compositor das músicas de campanha de Jackson Lago.
Agora, que a Justiça deu causa ganha ao atual deputado federal Francisco Escórcio, será que Flávio Dino falará sobre assunto?
Para clarear a memória do ex-deputado Flávio Dino, segue algumas matérias relacionadas ao caso:
Matando a cobra e mostrando o pau! (antigo blog Metendo o Bedelho)
AO VIVO E A CORES, A COVARDIA DO ADERSON LAGO
O capa preta e ex-bam-bam-bam da Casa Civil do macambúzio primo Jackson Lago, Aderson ‘Opera Prima’ Lago, terminou por confessar seu eterno ‘modus-operandi’.
Ao insinuar sem prova alguma que o governo ‘trama contra sua vida’ (ta loco, ô meu!), Aderson relata passo a passo como planejou a covarde operação para-policial com a finalidade de intimidar, prender, torturar e algo mais (que felizmente acabou não acontecendo), em abril de 2008, o ex-senador Chiquinho Escórcio. À época, Chiquinho coordenava a atuação da brilhante equipe de advogados que trabalhava no processo que culminou na cassação do sorumbático desgovernador Jackson Lago por crime eleitoral.
Não foi à toa que Chiquinho Escórcio apanhou e foi violentamente preso e torturado em pleno saguão do Rio Poty Hotel, em São Luís.
Como recordar é viver, confira a covardia de Aderson ‘Opera Prima’ contra o atual e atuante secretário da Representação em Brasília, Chiquinho Escórcio, naquele triste dia…
http://www.youtube.com/yoda1900#p/u/29/yrK72-3K2ko
Prisão de Escorcio é fato inédito (Colunão)
A violenta prisão do ex-senador Chiquinho Escorcio, ontem à tarde, num hotel de São Luís, é fato inédito na história recente do Maranhão. Nos 40 anos entre o governo José Sarney, iniciado em 1966, e o segundo governo José Reinaldo, concluído em 2006, não há notícia de que a polícia estadual tenha sido usada para prender um político da oposição.
Escórcio foi agarrado, derrubado, chutado e enfiado à força numa viatura da Polícia, depois que se recusou a acompanhar o delegado Rodson Almeida e seus auxiliares até uma delegacia, para “prestar esclarecimentos” sobre suposta ameaça ao jornalista Lourival Bogéa, diretor do diário governista Jornal Pequeno.
A Farsa do Peta (blog do Décio Sá)
Juíza manda trancar inquérito contra Chiquinho
A única verdade do episódio foi a agressão sofrida por Chiquinho Escórcio
A juíza da 1ª Vara Criminal de São Luís, Florita Castelo Branco, concedeu liminar ao ex-senador Chiquinho Escórcio (PMDB) determinando o trancamento do inquéritoA
juíza acatou os argumentos dos advogados do ex-senador classificando a ação policial como um ato ilegal e abuso de autoridade. Na decisão, ela lembrou que o delegado não tinha mandado de prisão e sequer o jornalista Lourival Bogéa (Jornal Pequeno) havia prestado formalmente queixa da suposta agressão que havia sofrido do ex-senador.
Postado por Caio Hostilio em 25/mar/2014 - 1 Comentário
Secid apresenta Projeto de Reurbanização da Ponta do São Francisco
O secretário de Estado de Cidades e Desenvolvimento Urbano, Hildo Rocha, apresentou detalhes do Projeto de Reurbanização da Ponta do São Francisco, em São Luís, na tarde desta terça-feira (25), no auditório da Secretaria. Com investimentos de R$ 30 milhões, o projeto faz parte das ações do Programa de Aceleração do Crescimento (PAC 2) e atenderá famílias que moram em área do bairro Ilhinha. A iniciativa engloba a construção de 256 apartamentos que serão doados às famílias que vivem em áreas de palafita. Contempla, também, a construção de três praças, quadra poliesportiva, quadra de areia, área de ginástica, playground, posto policial, duas lanchonetes, dois decks, passarelas, calçadão na beira-mar e ações de regularização fundiária. “Estamos felizes em apresentar para a comunidade da Ponta do São Francisco (Ilhinha), uma obra desejada por todos. Essa é uma área onde houve uma ocupação desordenada e, para melhorar a vida das pessoas, nós fizemos estudos, elaboramos esse projeto que vai garantir, além de cidadania, conforto para todos”, destacou Rocha, enfatizando que as praças serão batizadas com os nomes de Biló Murad, Raimundo Assub e Walber Duailibe.
Prefeitura de Coroatá entrega prestação de contas ao TCE
A Prefeitura de Coroatá entregou a prestação de contas do exercício financeiro de 2013 ao Tribunal de Contas do Estado (TCE-MA). A prefeita Teresa Murad (PMDB) foi uma dos 20 gestores municipais que cumpriu a obrigação legal com a Corte de Contas até esta terça-feira. Atendendo a uma solicitação da Federação dos Municípios do Estado do Maranhão (Famem), o TCE autorizou o recebimento das prestações de contas gestores municipais, referentes ao exercício financeiro de 2013, até o próximo dia 04 de abril – o prazo era até o dia 02 do mesmo mês. “Em 2013 atravessamos muitas barreiras deixadas pela gestão anterior. Neste ano, com o empenho de toda a minha equipe, superamos imensas dificuldades, e conseguimos atender muitas das necessidades mais urgentes da população e iniciar um planejamento de recuperação e investimentos no município que se prolongarão até o fim deste mandado que o povo de Coroatá nos confiou”, afirmou Teresa Murad. Segundo a prefeita de Coroatá, uma das tarefas da equipe de governo foi retirar judicialmente as inúmeras inadimplências municipais junto aos órgãos estaduais e federais, para que pudesse levar programas dos governos Federal e Estadual para o município. “A antiga gestão, em ato criminoso, apropriou-se de toda a documentação da Prefeitura e deixou a estrutura administrativa completamente depredada. Buscamos medidas judiciais para tentar reaver a documentação completa da Prefeitura, e embora tenhamos conseguido provimento judicial favorável, ainda não logramos êxito, e continuamos sem a memória documental da Prefeitura”, declarou Teresa Murad.
Prefeitura ribamarense aumenta frota do transporte escolar
Com o objetivo de otimizar o trabalho e, desta forma, prestar um melhor serviço à comunidade estudantil, a administração do prefeito Gil Cutrim (PMDB) está adquirindo novos ônibus para a frota que faz o transporte dos alunos da rede municipal de ensino. Nesta quarta-feira (25), mais um ônibus (com ar condicionado e capacidade para transportar até 30 alunos) foi inserido na frota escolar, aumentando a mesma para 15 veículos. O novo ônibus atenderá estudantes residentes na zona rural da cidade, reforçando o trabalho em localidades como Bom Jardim, Jussatuba, Santa Maria, São Paulo, dentre outras. Nos próximos meses, é importante destacar, mais quatro ônibus serão adquiridos, aumentando a frota para 19 veículos. “Não estamos medindo esforços no sentido de continuar investindo em ações de valorização dos profissionais do magistério e outras direcionadas para os estudantes da rede municipal de ensino”, afirmou o prefeito. Em todas as regiões do município, os veículos que integram a frota do transporte escolar trafegam obedecendo roteiros instituídos como forma de beneficiar estudantes dos mais diversos bairros.
Prefeitura participa de workshop com gestores escolares do Nordeste
“Quando olho para cada aluno, me sinto responsável por eles, por cada um deles”, afirmou a professora Ana Célia Lopes, gestora da U.E.B. Rubem Goulart e convidada para representar São Luís no “Workshop com Diretores de Escolas do Nordeste” que reúne as escolas com o maior Índice de Desenvolvimento da Educação Básica (IDEB) da região Nordeste do país. No dia 8 de abril, a gestora Ana Célia representará a rede pública municipal no Workshop que será realizado em Recife (PE). Para o secretário de Educação, Geraldo Castro Sobrinho, o Workshop é uma possibilidade de conhecer trabalhos exitosos e de trocar experiências, inclusive como meio de aperfeiçoar o trabalho nas escolas. “A gestão do prefeito Edivaldo Holanda Júnior agrega, para a Educação, desde a adoção de metodologias e critérios pedagógicos até o conceito de educação com afeto, que ofereça às crianças um cuidado integral, com progressos numéricos, sim, mas sobretudo qualitativos, em nível individual e global”, apontou Castro. A escolha da escola ludovicense foi feita com base na coleta de dados da Fundação Joaquim Nabuco que desenvolve a Pesquisa “Qualidade Educacional e Gestão Escolar”, analisando modelos de gestão considerados exitosos pelos indicadores educacionais na região Nordeste. A equipe da pesquisa realizou alguns filtros dentre as escolas com melhores Idebs no Nordeste, e a UEB Rubem Goulart foi o destaque da capital maranhense este ano.
Servidores e professores da Raposa decidem iniciar greve por tempo indeterminado
A falta de estrutura das escolas é uma das motivações da greve e o MP já recebeu denuncia de que alunos bebem água contaminada. Após uma reunião com o prefeito Clodomir Oliveira, onde não houve acordo, os servidores e professores da Raposa deliberaram por iniciar a partir desta quarta-feira (26 de março) uma greve por tempo indeterminado e também denunciaram ao Ministério Público que os alunos da Rede Municipal de Ensino estão bebendo água contaminada nas escolas. Na reunião realizada na manhã desta terça-feira, dia 25, a ASISMU, (Associação Representativa dos Servidores Municipais) e o Sindicato dos Professores e Servidores do Serviço Publico Municipal de Raposa(SISMUR), não conseguiram chegar a um acordo com a prefeitura e atribuem isto a postura de intransigência do prefeito. A reunião teve a participação de representantes destas entidades, da assessoria jurídica do prefeito Clodomir Oliveira e de uma comissão de vereadores e teve como objetivo abrir um canal de negociação com a prefeitura.
Postado por Caio Hostilio em 25/mar/2014 - Sem Comentários
O secretário de Estado da Educação, Pedro Fernandes, se reuniu nesta terça-feira (25), com a direção do Sindicato dos Trabalhadores em Educação Pública do Maranhão (Sinproesemma). Eles discutiram ações que beneficiam diretamente os profissionais da rede pública estadual de ensino.
Realizada na sede da entidade sindical, no centro histórico de São Luís, o encontro reuniu dirigentes sindicais e a equipe técnica da secretaria. Na ocasião, foram debatidas questões como: concurso público para categoria, eleição para diretor de escola e gratificações contidas no Estatuto do Educador.
O secretário Pedro Fernandes destacou, na ocasião, que a Seduc vem desenvolvendo um grande trabalho na gestão de recursos humanos. “Um dos setores que buscamos melhorar na secretaria foi a administração dos recursos humanos e avançamos muito na concessão de progressões, titulações e promoções aos professores, além da aprovação do Estatuto do Educador e todas as questões referentes a gratificações dos servidores”, ressaltou.
Sobre a eleição direta para gestor escolar, Pedro Fernandes informou que a minuta do decreto que disciplina o processo foi finalizada com base nas discussões com o sindicato e encaminhada à secretaria de Gestão e Previdência. Além disso, a Seduc, em parceria com outras instituições deverá ofertar formação especifica de gestão escolar, a fim de capacitar dirigentes escolares.
O secretário também informou que a Seduc encaminhou à Casa Civil proposta de edital do concurso público da educação para diversas áreas, incluindo o setor técnico-administrativo, além dos profissionais docentes.
Depois de agradecer a visita do secretário Pedro Fernandes à sede da entidade, o presidente do Sinproesemma, Júlio Pinheiro, falou do empenho da equipe técnica da secretaria para agilizar o andamento dos processos que dizem respeito à categoria. “Temos mantido diálogo com a secretaria e participado permanentemente das discussões, objetivando o encaminhamento das ações que de valorização do servidor do magistério”, disse.
Postado por Caio Hostilio em 25/mar/2014 - Sem Comentários
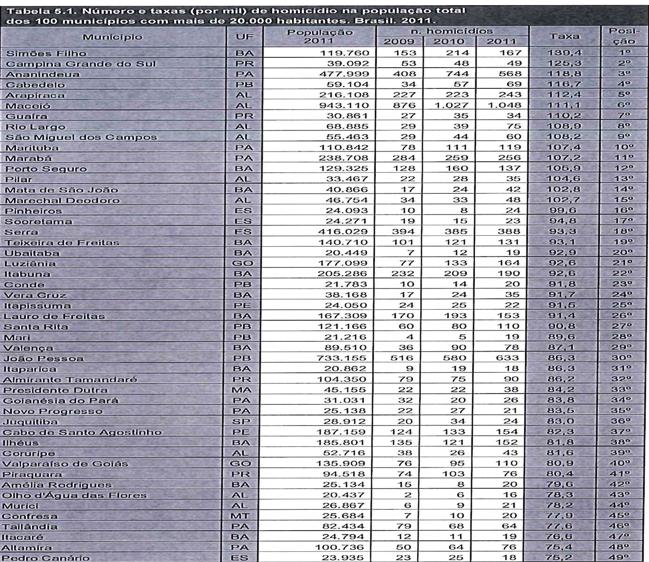
É certo afirmar que o deputado Bira do Pindaré quer ver o Maranhão como terra arrasada, mas precisa saber que praticar as politiquices é conveniente que busque informações científicas e não baseadas no senso comum, além de rechear com politicalhas…
Agora, deputado Bira Pindaré, observe bem esses dados abaixo, que representa o verdadeiro mapa da violência no Brasil, haja vista que esses são os dados oficiais do Ministério da Justiça e da SNASP:
Postado por Caio Hostilio em 25/mar/2014 - 1 Comentário
Na segunda-feira (24), publiquei aqui a matéria “O futuro de Roseana…”, cujo objetivo foi mostrar que estava acontecendo reuniões entre caciques do grupo da governadora com o presidente da Assembléia Legislativa, deputado Arnaldo Melo, para tratar da eleição indireta.
As informações de bastidores foram passadas a mim e ao radialista Geraldo Castro ainda no domingo (23), quando estava marcada outra reunião entre os lideres do grupo e o presidente da Assembléia Legislativa.
Agora, o presidente da Assembléia Legislativa, deputado Arnaldo Melo, foi convidado para um juntar com a governadora Roseana Sarney.
Os informantes disseram a mim e ao radialista Geraldo Castro de que essa reunião de domingo (23) poderia ser definitiva para a compreensão de todos…
Com isso, só resta aguardar o resultado final!!!
Postado por Caio Hostilio em 25/mar/2014 - Sem Comentários
É impressionante o que está ocorrendo hoje no blog Metendo o Bedelho. Já passaram dos mais de 2000 acessos a Matéria “Começaram a xenofobia dos sulistas contra a criação de novos estados no Norte e no Nordeste do Brasil”, publicada aqui em 11 de julho de 2011.
Eu fiz essa matéria baseada nos comentários degradantes no Twitter aos nordestinos quando da vitória de Dilma…
… Começo esse artigo com dizeres da paulista Tayane Monteiro, no Twitter, quando do resultado da vitória de Dilma para governar o Brasil: “Nordestino não é gente, faça um favor a São Paulo, mate um nordestino… A gente do Sul é que paga pra esses nordestinos de M… terem bolsa família e votarem.”
Agora, você leitor, acredita que os políticos das Regiões Sul e Sudeste não pensam dessa mesma forma? Pobre daquele que acha que a luta entre etnias acabou com a morte de Hitler!!!
Continue lendo aqui
Agora, vejam os comentários já liberados hoje sobre essa matéria:
Postado por Caio Hostilio em 25/mar/2014 - Sem Comentários
Agora pouco, vi os deputados Bira do Pindaré e Rubens Junior numa conversa com alguns jornalistas, cujo assunto era os índices de criminalidade nos estados brasileiros.
O interessante é forma mais esdrúxula possível de tentar jogar o Maranhão para baixo, isso utilizando de contas mirabolantes que são facilmente desqualificadas.
Cheguei até a chamar o assessor de comunicação do deputado Bira do Pindaré para lhe falar que seu chefe estava passando informações falaciosas aos jornalistas, além de mostrar ao deputado Rubens Junior que tal informação estava completamente fora de propósito… O mesmo fiz com os jornalistas.
Primeiramente, o deputado Bira do Pindaré estava falando que se fossem somados os crimes não contabilizados, o número de homicídios subiria para 69 e logo São Luís subiria para a terceira cidade mais violenta do mundo.
Segundo, o deputado no fã de desqualificar os números, disse que esses são informados dentro dos critérios da Secretaria de Segurança Pública do Maranhão.
Ledo engano, cara pálida!!! Os números são repassados dentro dos ditames do Ministério da Justiça e pela SENASP, logo sua informação politiqueira cai por água abaixo.
Por outro lado, os outros estados se utilizam dos mesmos índices que o Maranhão, com isso essa contabilidade Biriana escorre pelo ralo, haja vista que se forem somados dos os outros tipos de crime nos outros estados não mudaria em nada o mapa da violência, podendo até o Maranhão ficar mais abaixo.
Para que o deputado Bira tenha uma idéia, o único estado que não segue os ditames do Ministério da Justiça e do SENASP é São Paulo, que deixa de somar os homicídios em confronto com a Polícia e os praticados no Sistema Prisional, caso fossem somados, São Paulo superaria todas as expectativas.
O Mapa da Violência, realizado pelo Instituto Sangari não é o mais seguro, mas sim o do Ministério da Justiça.
Mas vamos nos basear pelo Instituto Sangari:
Cidades mais violentas do Mundo:
1ª. San Pedro Sula (Honduras) 187,14 mortes para cada 100 mil habitantes
2ª. Caracas (Venezuela) 134,36
3ª. Acapulco (México) 112,80
4ª. Cali (Colombia) 83,20
5ª. Maceió (Brasil) 79,76
6ª. Distrito Central (Honduras) 79,42
7ª. Fortaleza (Brasil) 72,81
8ª. Guatemala (Guatemala) 68,40
9ª. João Pessoa (Brasil) 66,92
10ª. Barquisimeto (Venezuela) 64,72 mortes para cada 100 mil habitantes
Outras cidades brasileiras no ranking das mais perigosas do mundo:
12ª. Natal (57,62 mortes para cada 100 mil habitantes)
13ª. Salvador (57,51)
14ª. Vitória (57,39)
15ª. São Luís (57,04)
23ª. Belém (48,23)
25ª. Campina Grande (46,00)
28ª. Goiânia (44,56)
29ª. Cuiabá (43,95)
31ª. Manaus (42,53)
39ª. Recife (36,82)
40ª. Macapá (36,59)
44ª. Belo Horizonte (34,73)
46ª. Aracaju (33,36 mortes para cada 100 mil habitantes)
Lugares mais violentos do Brasil 2013:
Alagoas é o Estado mais violento, com 55,3 mortos por armas de fogo para cada 100 mil habitantes, seguido por Espírito Santo (39,4 mortos para cada 100 mil), Pará (34,6), Bahia (34,4) e Paraíba (32,8). Na outra ponta, os Estados com menos mortes por armas de fogo são: Roraima (7,1), Piauí (8), Santa Catarina (8,5) e São Paulo (9,3). O Rio de Janeiro deve taxa de 26,4 mortes para cada 100 mil; Minas Gerais (13,4), Rio Grande do Sul (16,3) e o Distrito Federal (25,3).
Região Norte: 5.927 mortes
Acre: 144
Amapá: 259
Amazonas: 1.067
Pará: 3.482
Rondônia: 541
Roraima: 123
Tocantins: 311
Região Nordeste: 18.073 mortes
Alagoas: 2.084
Bahia: 5.288
Ceará: 2.514
Maranhão: 1.478
Paraíba: 1.454
Pernambuco: 3.412
Piauí: 427
Rio Grande do Norte: 727
Sergipe: 689
Região Sudeste: 15.237 mortes
Espírito Santo: 1.761
Minas Gerais: 3.538
Rio de Janeiro: 4.193
São Paulo: 5.745
Região Sul: 6.454 mortes
Paraná: 3.588
Rio Grande do Sul: 2.061
Santa Catarina: 805
Região Centro-Oeste: 4.241 mortes
Distrito Federal: 880
Goiás: 1.766
Mato Grosso: 963
Mato Grosso do Sul: 632
Portanto, não criem politicalhas, pois são facilmente desmascaradas!!!
Postado por Caio Hostilio em 25/mar/2014 - Sem Comentários
Agência Brasil
Dados divulgados nesta segunda-feira (24) pelo Ministério da Saúde mostram que o Brasil registrou 71.123 novos casos de tuberculose em 2013. A taxa de incidência da doença no país ficou em 35,4 casos para cada cem mil habitantes, o que indica queda de 20,3% em relação a 2003, quando a taxa era 44,4 casos para cada cem mil pessoas.
Os dados sobre o número de mortes por tuberculose divulgados pela pasta são referentes a 2012 e indicam um total de 4.406 óbitos provocados pela doença. A taxa de mortalidade no país foi 2,3 óbitos para cada 100 mil habitantes.
Ainda de acordo com o ministério, moradores de rua representam a população mais vulnerável à tuberculose – o risco de infecção é 44 vezes maior que na população geral. Em seguida, estão as pessoas com HIV/aids (risco 35 vezes maior); população carcerária (risco 28 vezes maior) e indígenas (risco três vezes maior).
O coordenador do Programa Nacional de Controle da Tuberculose, Dráullio Barreira, lembrou que a Organização Mundial da Saúde (OMS) estima a existência de 9 milhões de casos de tuberculose em todo o mundo, sendo 3 milhões deles não detectados e, portanto, sem tratamento.
O Brasil, segundo ele, se mantém em uma situação “confortável” em relação ao diagnóstico da doença (82%, quando a recomendação da OMS é de, pelo menos, 70%). Atualmente, o país ocupa a 16ª posição entre os 22 com maior carga de tuberculose e a 111ª posição em taxa de incidência.
“Ainda é um desafio. Temos a tuberculose como a quarta causa que mais mata entre doenças infecciosas”, destacou o coordenador. A doença aparece ainda como a primeira causa de morte entre doenças infecciosas em pessoas que vivem com HIV/aids.
Postado por Caio Hostilio em 25/mar/2014 - Sem Comentários
Para os politiqueiros safados e canalhas – a maioria já ajudou a sucatear a Caema, principalmente na época dos hidrodólares e nos últimos desgovernos da oposição -, o povo tem que ficar sem água e, assim, poder fazer suas politicalhas, isso pensando no poder e quiçá faturar muito com a pobre Caema!!!
Postado por Caio Hostilio em 24/mar/2014 - 1 Comentário
Projeto de Reurbanização da Ponta do São Francisco
A Secretaria de Estado das Cidades e Desenvolvimento Urbano (Secid) fará, nesta terça-feira (25), a apresentação do Projeto de Reurbanização da Ponta do São Francisco. O projeto, orçado em aproximadamente 30 milhões de reais, faz parte das ações do PAC2 – Programa de Aceleração do Crescimento. O ato terá a presença do Secretário Hildo Rocha, adjuntos da Secid, representantes da Prefeitura de São Luis, da Caixa Econômica, Delegacia do Patrimônio da União e lideranças da área beneficiada. A iniciativa prevê ações de regularização fundiária, construção de 256 apartamentos, que serão doados às famílias que residem nas palafitas, três praças, quadra poliesportiva, quadra de areia,área de ginástica, playground, posto policial, duas lanchonetes, dois decks, passarelas e calçadão na beira mar. O terreno, onde serão construídos os apartamentos, pertence à União. A área foi requisitada pelo Governo Estadual e liberada por meio de Cessão de Uso. Como formar de homenagear três pessoas que se destacaram no campo dos esportes, as praças serão batizadas com os nomes de: Biló Murad, Raimundo Assub e Walber Duailibe.
Presidente Nacional do PSD visita sede no Maranhão
O presidente nacional do Partido Social Democrático (PSD), Gilberto Kassab, estará realizando, nesta terça-feira (25), às 17h, uma visita ao presidente do PSD-MA, Cláudio Trinchão, na sede do partido em São Luís. O intuito do encontro é debater os novos rumos do PSD no Maranhão e sua reestruturação, além de declarar o apoio ao candidato Luís Fernando (PMDB), que disputa as eleições de 2014 ao cargo do governo do Estado do Maranhão.
GTA resgata vítimas de pouso forçado em Humberto de Campos
Equipes do Grupo Tático Aéreo do Maranhão (GTA) realizaram o resgate de seis pessoas que estavam a bordo de uma aeronave da empresa Cururupu Táxi Aéreo, que partiu de São Luís com destino à cidade de Barreirinhas. O GTA foi acionado na manhã desta segunda-feira (24), após o avião que levava os turistas realizar um pouso forçado na cidade de Humberto de Campos. A aeronave, de modelo Minuan, saiu de São Luís às 10h30. Segundo a polícia, no avião estavam o piloto, um guia turístico e quatro turistas idosos naturais do estado de São Paulo. Por volta das 11h, o controle de tráfego do GTA recebeu informações de um pouso forçado do avião, há cerca de 4 milhas do município de Humberto de Campos. A equipe do GTA se deslocou até o loca do pouso forçado e constatou que os ocupantes apresentavam algumas escoriações, mas estavam fora de perigo. Os passageiros foram levados para a base do GTA, em São Luís, onde havia uma ambulância que prestou os primeiros socorros. Logo depois foram encaminhados para a Unidade de Pronto Atendimento (UPA) do Araçagy.
SES faz alertas à população no Dia Mundial de Luta contra a Tuberculose
No Dia Mundial de Luta contra a Tuberculose, que acontece todo ano em 24 de março, a Secretaria Estadual de Saúde (SES) intensificou o propósito de reduzir a transmissão do bacilo da tuberculose na população. Para isso, conta com ações de diagnóstico precoce e tratamento adequado dos casos nas unidades de saúde. A programação foi aberta nesta segunda-feira (24), no auditório do Conselho Regional de Medicina (CRM). O secretário adjunto de Vigilância em Saúde da Secretaria Estadual de Saúde (SES), Alberto Carneiro ressaltou que a tuberculose é uma doença grave, mas que tem cura em praticamente 100% dos novos casos. “É fundamental acabar com o estigma em relação aos pacientes afetados com a doença, principalmente os portadores de HIV”, destacou ele. Participaram, também, da abertura do evento, a secretária municipal de Saúde de São Luís, Helena Duailibe, o secretário-adjunto de Justiça, Kécio da Silva Rabelo; a presidente da Sociedade de Pneumologia e Tisiologia, Maria do Rosário da Silva Ramos Costa, além de profissionais de saúde. Anualmente são notificados 70 mil novos casos de tuberculose e 4,6 mil mortes por ano causadas pela doença no Brasil. O país ocupa o 17º lugar entre as 22 nações que detêm 80% dos casos no mundo. A tuberculose é a 4ª causa de mortes por doenças infecciosas e 1ª causa de morte dos pacientes com Aids. A taxa de incidência é de 35,8 casos por 100 mil habitantes.
UEMA é destaque na educação mediada pelas tecnologias
Em entrevista recente o Secretário de Estado da Educação, Pedro Fernandes deu destaque a Universidade Estadual do Maranhão como uma instituição pública que avança a cada dia em tecnologias para atender com qualidade a educação do Maranhão. Dadas às dimensões continentais do Brasil, a tecnologia tem um papel fundamental na articulação de municípios longínquos, na troca de experiências e na construção de saberes que podem ser ministrados utilizando as TICs. Mas, você deve está se perguntando: o que são realmente tecnologias educacionais? De acordo com a Coordenadora do Núcleo de Tecnologias para Educação da Uema – UemaNet, Profa.Dra.Ilka Serra, “O termo tecnologia educacional remete ao emprego de recursos tecnológicos como ferramenta para aprimorar o ensino. É usar a tecnologia a favor da educação, promovendo mais desenvolvimento socioeducativo e melhor acesso à informação”. Para o Secretário de Estado da Educação do Maranhão, Pedro Fernandes, essa modalidade de ensino é de extrema importância para a educação maranhense. “É claro que o ensino a distância no país vem crescendo significativamente. O MEC, em parceria com as universidades, vem apostando na EaD como uma alternativa para suprir a demanda de formação superior no país. Mas, para avançarmos na democracia é necessária uma educação universal, onde todos tenham o direito e o acesso a educação. Mais do que isso: precisamos de qualidade. E para uma educação universal e de qualidade é preciso uma mediação tecnológica. Um país grande precisa usar a mediação para poder chegar mais rápido ao cidadão. Hoje, a informação é muito rápida. Então, nunca vamos conseguir através dessa “velha escola do século XIX” suprimir essas necessidades. A educação a distância chegou para ficar e essa é realmente a grande solução para a educação”, destaca o Secretário. http://www.youtube.com/watch?v=VwzQcosP5m4
São Luís sediará reunião do Conselho Nacional de Educação
São Luís foi escolhida pelo Conselho Nacional de Educação (CNE) como cidade-sede da reunião anual da entidade fora do Distrito Federal. Como parte do regime de colaboração, a Prefeitura de São Luís, através do secretário municipal de Educação, Geraldo Castro Sobrinho, reuniu-se com o conselheiro nacional de Educação, Moacyr Feitosa; com a secretária-executiva do Conselho Nacional de Educação, Andréa Malagutti; com o secretário-adjunto de Educação do estado, Fernando Silva; e com representantes do CNE. O encontro foi realizado na sede da Secretaria Municipal de Educação (Semed), na tarde desta segunda-feira (24). “Por determinação do prefeito Edivaldo Holanda Júnior, seguimos com a política de colaboração e de engajamento junto às discussões que acontecem em âmbito nacional em todo o país. Estar dentro do roteiro de mesas de diálogo sobre pautas da Educação gera, para nós, possibilidade de compartilhar da diversidade de experiências e expandir a qualidade de nossa atuação”, declarou o secretário Geraldo Castro. Desta vez, conselheiros nacionais, secretários municipais e gestores escolares poderão acompanhar, na capital maranhense, a discussão das principais pautas nacionais da educação, prevista para maio deste ano. “Todo ano reunimos o conselho em uma cidade fora de Brasília. Escolhemos locais estratégicos para discutir as políticas educacionais do país e pela importância de São Luís para todo o estado, a nossa escolha em 2014 não poderia ser diferente”, disse o presidente da Câmara de Educação Básica, Moacyr Feitosa. Além dos conselheiros nacionais, o ministro da Educação, José Henrique Paim, é um dos convidados para participar da mesa de abertura da reunião, prevista para ocorrer no próximo mês de maio, em São Luís. Avaliar a política nacional de educação, zelar pela qualidade do ensino, velar pelo cumprimento da legislação educacional e assegurar a participação da sociedade no aprimoramento da educação brasileira, são algumas das atribuições do Conselho Nacional de Educação.