Postado por Caio Hostilio em 10/abr/2015 - 2 Comentários
Postado por Caio Hostilio em 10/abr/2015 - 4 Comentários
Primeiramente, porque ninguém administra através de discursos e sequer sem um planejamento prévio.
Erros foram muitos!!! Infantis, impensados, por falta de critérios, por pensamentos puramente fora do contexto administrativo e até desumanos…
Primeiro erro. Jamais se mexe numa estrutura organizacional de uma dimensão como a do tamanho do governo estadual do Maranhão em todas as camadas existentes num organograma funcional. Isso é crucial para o desastre!!!
Um bom gestor é aquele que sabe segurar os técnicos a partir do segundo escalão, isso através de uma boa administração de pessoas (antigo setor de recursos humanos!!!), fator primordial nas gestões atuais tanto no seguimento privado quanto público!!! Eis aí a desgraceira nas gestões publica por esse país afora!!!
Segundo erro. Não ter dado seguimento ao que já estava planejado e em andamento, isso dentro do cronograma orçamentário, haja vista que seria uma prova de que o governo estaria trabalhando em prol da coletividade, sem vislumbrar a politicalha, coisa que não é vista pelo povo, que sempre espera pelo bem-estar. Logo, que os atuais secretários apresentassem um relatório com as ações e obras que fossem de fato importantes para o crescimento do estado e o bem-estar da coletividade. Não ocorreu!!!
Terceiro erro. Ficaram nos alardes dos factóides sobre dividas da ex-gestão sem apresentar nenhum Balanço Financeiro que comprovasse. Também não deu aplicabilidade nenhum aos R$ 2,5 bilhões do empréstimo do BNDES e nem falou a verdade ao dizer que a primeira parcela desse empréstimo só será paga a partir de 2019.
Quarto erro. Resumiu a gestão desses cem dias, que muitos acham que pouco, mas não é, visto que as ações de curto prazo são feitas com menos de 20 dias de governo; em atacar a ex-gestão e culpá-la por tudo que vem fazendo de errado.
Quanto aos secretários?
Articulação Política e Assuntos Federativos – Márcio Jerry – É um peixe fora d’água.
Assessoria de Imprensa – Aline Louise – uma boa profissional.
Casa Civil – Marcelo Tavares – O melhor até agora, pois foi quem articulou a maioria na AL, apesar de sua pasta ter sido esvaziada!!!
Cerimonial do Governo – Telma Moura de Oliveira – nem apareceu.
Cidades – Flávia Alexandrina Coelho Almeida Moreira – ninguém viu!!!
Ciência, Tecnologia e Ensino Superior – Bira do Pindaré – Está mais perdido que cego em tiroteio, não sabe nada, nadica de nada, de educação!!!
Comunicação – Robson Paz – um bom profissional, mas está engessado.
Companhia de Água e Esgostos do Maranhão (Caema) – Davi Telles – está lá por conta de favores!!!
Cultura – Ester Marques – só criou problemas!!!
Desenvolvimento Social – Neto Evangalista – vem tentando…
Departamento Estadual de Trânsito do Maranhão (Detran) – Antônio Nunes – Nada fez…
Direitos Humanos – Francisco Gonçalves – Cadê esse?
Empresa Maranhense de Administração Portuária (Emap) – Ted Lago – ??????
Empresa de Transportes Urbanos* – José Artur Cabral Marques – Sequer andou de buzu!!!
Fazenda – Marcellus Ribeiro Alves – Que deixasse os que ali estavam!!!
Fundação de Amparo à Pesquisa e ao Desenvolvimento Científico e Tecnológico do Maranhão (Fapema) – Alex Oliveira de Souza – Nada!!!
Fundação da Criança e do Adolescente (Funac) – Elisângela Cardoso – Não vi…
Gestão e Previdência – Felipe Camarão – Na luta árdua…
Gerência de Proteção e Defesa do Consumidor do Maranhão (Procon-MA) – Duarte Júnior – trabalha.
Indústria e Comércio – Simplício Araújo – Indústria e Comércio é sua praia?
Infraestrutura – Clayton Noleto – é melhor voltar a vender remédio!!!
Instituto Estadual de Educacao, Ciência e Tecnologia (Iema) – Francisco Alberto Gonçalves – !!!!
Instituto de Metrologia e Qualidade Industrial do Maranhão (Inmeq) – Geraldo Carvalho Jr. – …
Justiça e Administração Penitenciária – Murilo Andrade de Oliveira – Manda de volta para BH.
Meio Ambiente – Marcelo Coelho – Ele está trabalhando?
Procuradoria Geral do Estado – Rodrigo Maia ?
Saúde – Marcos Pacheco – Mais perdido que sua adjunta Curado, que sabe muito é de Coelho Neto!!!
Segurança Pública – Jefferson Miller Portela e Silva – Um bom Nome, mas sabe que o problema de segurança pública não se resolve com discurso.
Transparência e Controle* – Rodrigo Lago – só criou até agora muito factóide e sequer consegue arrumar as presepadas do atual governo.
Trabalho – Julião Amin – ainda não deu tempo.
Postado por Caio Hostilio em 10/abr/2015 - Sem Comentários
O pintor carioca Gabriel Giucci disse que se inspirou em Goya e Francis Bacon para compor essas molduras… Os retratos foram feitos com óleo sobre tela e até ficaram interessantes, porém adquiri-los é algo tão complicado!!!
O sentido do “Belo” na arte de Francis Bacon é realmente algo inspirador e Gabril Giucci foi buscar essa magistral forma de retratar com muita competência… A moldura de Cerveró ficou magnífica!!!
Postado por Caio Hostilio em 10/abr/2015 - 5 Comentários
Tem dúvida? Então assista ao vídeo abaixo, depois lembre se das nomeações efetuadas pelo governo atual e diga de fato quem foi os que viraram rei!!! Procure se lembrar de como funcionavam as unidade hospitalares e como funcionam atualmente. Como estão funcionando as escolas. Como está a segurança pública. Se houve crescimento econômico do estado. Se houve atração de investimentos para o estado. Se houve crescimento de geração de emprego.
Tudo não passou de discurso e muita balela de campanha eleitoral!!!
Acorda povo!!!!
Postado por Caio Hostilio em 10/abr/2015 - Sem Comentários
Da pena do povo desse Estado!!! E enganado e aqueles que poderiam lutar por seus direitos se agacham diante das mais absurdas e esdrúxulas arbitrariedades cometidas no âmbito administrativo, econômico, tributário e social.
Esperar o que e de quem se os que deveriam representar o povo e até seus municípios se calam diante de tudo que ocorre nesse estado?
Esse cala boca é evidenciado nos prefeitos, nos vereadores, nos deputados estaduais, deputados federais, senadores e até por aqueles que poderiam relatar as arbitrariedades!!!
Comecei assim para voltar a falar da benevolência isolada sobre o desconto exclusivo sobre o óleo diesel aos empresários do transporte coletivo de São Luís na alíquota do ICMS.
Ora bolas!!! Como ficam os empresários do transporte coletivo dos municípios de Imperatriz, Timon, Açailândia etc., por exemplo?
Como ficam os empresários do transporte alternativos nos municípios?
ESSSE IMPOSTO É ESTADUAL!!!!!!!!!!!!!!!!!!!!!!!!!!!!!!!!! DEVE POR CRITTEIROS CONSTITUCIONAL SER IGUALITÁRIO!!!! UMA ALIQUOTA NÃO PODE SER COBRADA DIFERENCIADA, PRINCIPALMENTE PARTINDO DO PRINCÍPIO DE QUE SÃO LUÍS É O QUE MAIS RECEBE DO REPASSE DO ICMS, ALÉM DE SER O MAIS RICO ENTRE OS DEMAIS MUNICIPIOS MARANHENSES!!!! CADÊ A LUTA PELO O TÃO ALARDEADO IDH?
Vou clarear as memórias dos representantes do povo como são repassados o ICMS aos municípios pelo Governo do Estado. Prestem a atenção e passem a lutar pelo povo e não pelas vontades isoladas e psicodélicas do executivo.



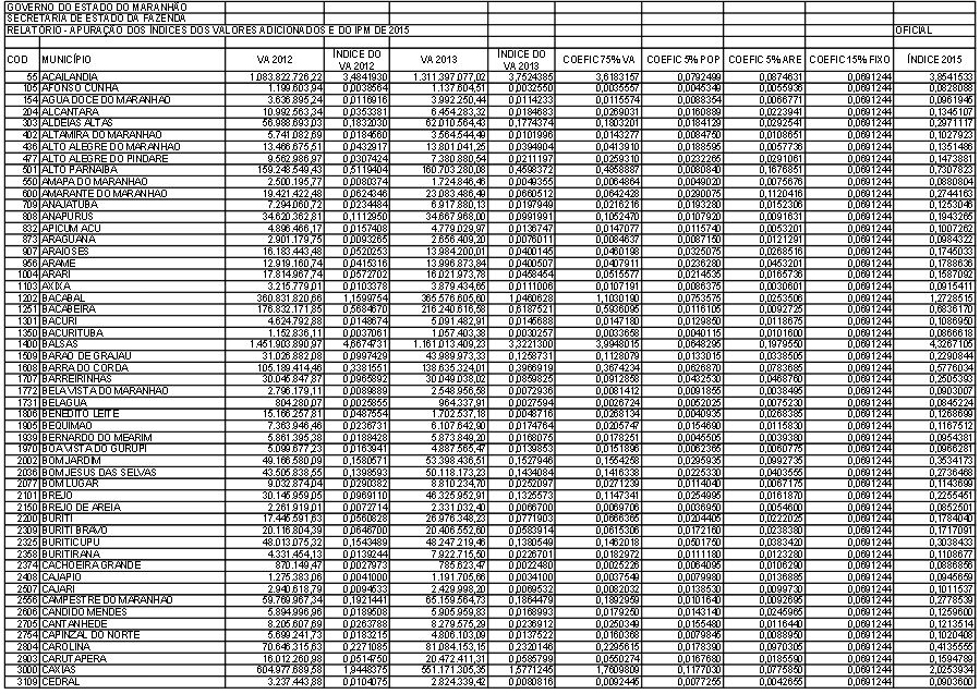
Abaixo, vejam quanto São Luís recebe de repasse de ICMS do Estado diante de alguns municípios que oferecem o serviço de transporte coletivo e que sequer chegaram a brigar por um desconto de 0,05% sobre a alíquota do ICMS no óleo diesel para o transporte coletivo e assim diminuísse a passagem!!!



E aí senhores representantes do povo, tudo está dentro dos princípios?
Postado por Caio Hostilio em 09/abr/2015 - 1 Comentário
Os deputados da base do governo resolveram discursar para tentar desestabilizar a principal voz de oposição na Assembleia Legislativa, a deputada Andrea Murad (PMDB). Não é por menos, a parlamentar é a única que tem a intrepidez de apontar as falhas do governo e denunciar com dados consistentes. A exemplo de Luiz Junior, chefe da Rede de Saúde da SES, condenado pelo TCE por desvios de verbas públicas, mas nomeado no governo Flávio Dino; as irregularidades presentes no edital de licitação para contratação das OS e OSCIPS, que, além das impugnações das empresas, também motivaram uma Ação Popular da deputada contra o governo do estado, solicitando ainda anulação do processo licitatório.
Mas, corajoso mesmo foi o seu discurso no início da semana, culminando com a resposta coletiva dos governistas contra Andrea Murad, que resolveu citar deputados e membros do governo Flávio Dino envolvidos em processos judiciais, motivos pelos quais a Superintendência de Combate a Corrupção – recentemente criada – também deveria investigar, segundo a própria parlamentar. Por isso, na sessão desta quinta-feira, os governistas resolveram engrossar a voz contra a deputada de oposição. O embate foi intenso, mas não fez a deputada recuar. Ela considera essa estratégia uma retaliação por causa das constantes denúncias contra Flávio Dino, principalmente, colocando-a contra o presidente Humberto Coutinho e os deputados da casa.
“Ficaram muitos sentidos quando eu falei sobre a Superintendência de Combate à Corrupção, inclusive querendo me colocar contra os colegas desta Casa. Só que eu sou correta, eu jogo limpo. Falo na frente o que penso, eu não jogo por trás, eu não tento fazer artimanhas e trapaças. O maior exemplo é V.Exa, deputado Rogério Cafeteira, que só está como líder do Governo porque corria o risco de bagunçar e impedir toda a candidatura do presidente desta casa, então ganhou a liderança de presente”, rebateu a deputada.
As incômodas denúncias que seus discursos têm causado no parlamento, fizeram o governo mirar como uma metralhadora para uma torre forte, que até o final da sessão não expressou qualquer abalo com os falatórios dos deputados de base. A deputada enfatizou que os constantes ataques não a farão recuar e nem calar a sua voz para falar o que for preciso quanto aos descasos, ilegalidades e erros cometidos pelo governo do estado.
“Jogam pedra e quando se vai responder, acham um crime, errado e se acham muito injustiçados. Os deputados do governo chamam todos os dias de criminosos os gestores do ex-governo. Falam as piores barbaridades, sem respeito. O Deputado Rogério, que fazia parte do Governo passado, não tem vergonha de subir à tribuna para falar as piores coisas, com mentiras e factóides. Sendo que o papel de V.Exas. é responder as acusações que eu faço contra o governo. Nos esclarecer a verdade. E como quem cala, consente, a única saída de V. Exas é mudar de assunto e começar a me metralhar. Só que precisam antes de fazer isso cumprir direito o seu papel, que é defender o governo”, disse Andrea.
A deputada disse ainda que não faz parte do seu perfil atacar qualquer deputado e muito menos criar debates pessoais, mas não irá permitir que seja intimidada ou ameaçada a se calar a mando do governo como fez esta semana com uma ‘seqüência de bombardeios’ por parte dos deputados dinistas.
“Entendam que o meu papel de oposição também é válido. Precisa haver a oposição, precisa existir a voz da oposição, é legítimo. Se não existir a oposição, o que vai ser? E o que cobro é que o governo trabalhe. Não tenho absolutamente nada contra nenhum deputado desta Casa, e não vou servir agora como uma deputada que fica defenestrando os colegas, mas quando tiver algo errado, me perdoem, mad vou falar. Ningém vai me calar porque aqui eu cumpro o meu trabalho. E seja a quem for, seja a quem quer que seja, eu vou falar aquilo que eu penso. Vou continuar como sempre fiz desde o início, nem que fique sozinha na luta, mas vou continuar batalhando por aquilo em que acredito. Então, os embates continuarão, os quais eu espero que sejam positivos para o Estado”, finalizou a deputada.
Postado por Caio Hostilio em 09/abr/2015 - Sem Comentários
Por 7 votos a 1 os ministros do STF (supremo Tribunal Federal) derrubaram nesta quinta-feira (9) regras do Estado do Pará que permitiam o pagamento de pensão vitalícia a ex-governadores.
A decisão abre um precedente para o julgamento de outros casos semelhantes que tramitam na corte.
As ações que questionam o pagamento de pensão a ex-governadores foram protocoladas pela OAB (Ordem dos Advogados do Brasil).
Além Pará, há ações contra dispositivos semelhantes que permitem o pagamento de pensão vitalícia para ex-governadores do Acre, Mato Grosso, Paraíba, Paraná, Piauí, Rio de Janeiro, Rio Grande do Sul, Rondônia e Sergipe.
Como as regras e leis que permitem os pagamentos não são idênticos em todos os Estados, o STF terá de analisar cada um dos processos para decidir se aceitará ou não a validade das pensões.
Único na sessão a se manifestar favoravelmente ao pagamento, o ministro Dias Toffoli destacou que o Supremo já considerou legal o pagamento de outras pensões especiais. Como exemplo citou o caso de ex-campeões da Copa do Mundo de 1958, 1962 e 1970, que desde a Lei Geral da Copa passaram a receber um benefício.
Segundo ele, em casos de necessidade comprovada, ex-governadores poderiam seguir recebendo a pensão.
Postado por Caio Hostilio em 09/abr/2015 - 1 Comentário
O Bom Dia Brasil mostrou a arma e o apelo da PM para aqueles que acharam devolvam. A arma é uma metralhadora .40, seu valor é de aproximadamente R$ 4 mil.
A apresentadora Renata, sensibilizada, disse: “Por aqui procura-se uma metralhadora!!! Pois é, a arma da Polícia Rodoviária do Maranhão desapareceu…”
Postado por Caio Hostilio em 09/abr/2015 - Sem Comentários
Pitolo ficou conhecido após operação que prendeu suspeitos na capital. Pitolo, como é conhecido carinhosamente, vive numa rua no Norte da capital e recebe comida dos moradores.
O cachorro, que ficou famoso após aparecer em uma foto deitado ao lado de suspeitos durante uma ação policial em Florianópolis, foi adotado pela comunidade Papaquara, no bairro Vargem Grande, Norte da Ilha de Santa Catarina.
Pitolo, como é chamado carinhosamente pelos moradores, vive na Rua Braulina Machado. O xodó da vizinhança passa os dias brincando com os seus colegas, ou seja, os outros cachorros e cochilando sob a sombra de casas.
Segundo os moradores, o animal pertencia a uma família que não mora mais no local há meses. Desde então, ele permanece na rua e é alimentado pelos moradores, principalmente pelas crianças.
Pitolo ficou famoso após se deitar ao lado de suspeitos numa abordagem policial. A cena inusitada foi registrada por volta das 13h30 de quinta-feira (2), durante uma operação policial.
Segundo a Polícia Militar, quando os suspeitos deitaram para serem revistados, o cachorro juntou-se voluntariamente aos detidos.
O Pitolo não tem raça definida, é de estatura média e tem aparência saudável. Costuma dormir nas varandas das casas de alguns moradores ou numa casinha improvisada, onde também recebe carinho e alimentos.
Os meninos que moram na comunidade contam que ele fica sempre próximo à antiga casa onde vivia com uma família que se mudou. O cão é considerado tranquilo e brincalhão, “mas rosna quando quer dormir e não ser incomodado”, relata um dos garotos.

Pitolo deita ao lado de suspeitos revistados em operação conjunta da Deic e PM (Foto: PMSC/Divulgação)
Operação policial
A operação resultou na prisão de duas pessoas, entre elas, um homem citado pela polícia como um dos líderes de uma facção criminosa que atua dentro e fora dos presídios de Santa Catarina. Ele estava foragido há quase dois anos, segundo a Polícia Militar.
Segundo a Diretoria Estadual de Investigações Criminais (Deic), que comenadou a ação, cerca de 1,5 kg de maconha, além de uma balança de precisão, cocaína, uma pistola de calibre restrito, munições e carregadores foram apreendidos. A operação contou com o apoio da Coordenadoria de Operações Policiais Especiais (Cope) e da Polícia Militar.
Postado por Caio Hostilio em 09/abr/2015 - Sem Comentários
Todas as provas e evidencias já apontaram para o criminoso e não são pormenores processuais – fatos burocráticos ou burrocraticos -, que pode emperrar o veredicto do processo e sequer manter um assassino em liberdade, ainda mais trabalhando!!! Coisa pra lá de esquisita…
A juíza Ana Lucrécia Reis expediu, nessa terça-feira (7), alvará de soltura para o soldado da Polícia Militar Jean Claude dos Reis Apinagé, suspeito de ter assassinado o cinegrafista José de Ribamar Carvalho Filho, no dia 29 de novembro de 2014. Preso desde 1º de dezembro do ano passado. Ele estava preso no quartel do Comando Geral da Polícia Militar do Maranhão, em São Luís.
No alvará de soltura foram destacados alguns pontos alegados pela defesa do policial como controvérsia relacionada à arma utilizada no crime e laudos periciais mencionados pelo Ministério Público (MP) que não existiam na época do ajuizamento da denúncia.
A magistrada citou, também, a falta de provas produzidas e documentadas no inquérito policial. Segundo a decisão, não existe qualquer indicativo que aponte que o acusado em liberdade possa pôr em risco à paz social e à ordem pública. De acordo com o documento, o PM pode voltar às suas atividades como policial, mas exercendo somente funções administrativas, que não necessitem do uso de armas. Se descumprir as obrigações, Jean Claude pode voltar à prisão.